物理与光电工程学院李朝红团队利用贝叶斯量子参数估计实现了原子钟的高精度锁定-芒果体育
  • 芒果体育,芒果体育官方网站,mgty芒果体育,芒果体育直播官网

    En

    物理与光电工程学院李朝红团队利用贝叶斯量子参数估计实现了原子钟的高精度锁定

    来源:物理与光电工程学院 发布时间:2024-10-29 10:31 点击数: Views

    近日,芒果体育量子精密测量研究所和物理与光电工程学院的李朝红团队利用贝叶斯量子参数估计实现了冷原子相干布居数囚禁钟的闭环锁定,主要结果于2024年10月23日发表在美国物理协会Physical Review Applied上,并选为编辑推荐文章。编辑认为,这一工作为原子钟锁定提供了一种高精度方法,并且在基于干涉的量子传感器件领域存在极有前景的应用。

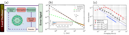
    李朝红团队基于自主搭建的冷铷原子相干布居数囚禁钟,利用贝叶斯量子参数估计首次在积分时间尺度上实现了海森堡标度【T^(-1)】的钟跃迁频率测量,并用于此原子钟的闭环锁定。团队研究人员通过设计适用于原子钟锁定的贝叶斯量子参数估计算法【图(a)】,利用具有指数增长积分时间的拉姆塞干涉测量序列,同时在贝叶斯迭代过程中自适应调节本地振荡器的频率,实现钟跃迁频率的测量。经过迭代,贝叶斯估计值趋于钟跃迁频率,在积分时间到达最大相干时间前,频率测量的灵敏度遵循海森堡标度【图(b)】。进一步,利用基于贝叶斯量子参数估计的钟跃迁频率测量,将本地振荡器频率直接锁定在原子跃迁频率上,实现了原子钟的贝叶斯闭环锁定。相对于传统的PID锁定,利用贝叶斯量子参数估计锁定的原子钟的稳定度提高了5.1(4)dB【图(c)】。相比美国国家标准与技术研究院报道的稳定度1.3*10^(-11)/τ^(1/2)【Appl. Phys. Lett. 111, 224102 (2017)】、英国斯特拉斯克莱德大学报道的稳定度2*10^(-11)/τ^(1/2)【Optics Express 27, 38361 (2019)】和中国计量科学研究院报道的稳定度2.4*10^(-11)/τ^(1/2)【Chin. Phys. B 31, 043201 (2022)】,李朝红团队利用贝叶斯量子参数估计得到的稳定度为4.3*10^(-12)/τ^(1/2),是目前冷原子相干布居数囚禁钟的最高稳定度。此外,基于贝叶斯量子参数估计的原子钟锁定对技术噪声具有极好的鲁棒性。

    该成果以“Atomic clock locking with Bayesian quantum parameter estimation: Scheme and experiment”为题发表在Physical Review Applied上,芒果体育为第一单位和通讯作者单位,芒果体育助理教授韩成银、中山大学博士生马翥和湖北师范大学讲师邱宇翔为共同第一作者,芒果体育李朝红教授、鹿博副教授和中山大学黄嘉豪副教授为共同通讯作者。该研究得到了国家自然科学基金委员会、科技部和广东省科技厅等机构的资助。

    论文链接:https://journals.aps.org/prapplied/abstract/10.1103/PhysRevApplied.22.044058

    芒果体育